low-e 복층유리의 색상에 따라서 열관류율이 달라지나요?

에너지/열교해석관련 질문

low-e 복층유리의 색상에 따라서 열관류율이 달라지나요?

G JAMMIE 3 2,108 2020.01.21 15:23
안녕하세요 건축을 전공하고있는 학생입니다.

low-e 유리 관련 공부를 하던 중 궁금증이 생겨 질문을 작성합니다.

창호가 청색 (5mmCL + 12Air + 5mmLE) 인데 유리 스펙은 변경없이

초록색 (5mmCL + 12Air + 5mmLE) 으로 변경할 경우 열관류율의 차이가 있을까요?

빛의 굴절율에따라 영향이 있을법도 한데 궁금하여 질문남깁니다.

Comments

M 관리자 2020.01.21 16:00
차이가 있습니다.
G JAMMIE 2020.01.22 07:28
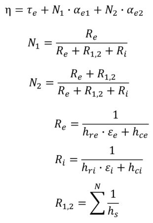
어떻게 차이가 있는건가요? 첨부된 그림의 식에 태양방사투과율이 달라지는건가요? 태양방사흡수율값이 달라지는건가요? 만약에 차이가 생기게 되면 열관류율에 유리한 색상은 초록색인가요 파란색인가요? 궁금한데 꼭 답변 부탁드리겠습니다.
M 관리자 2020.01.22 08:31
학생이시기에 여기서 부터는 직접 찾아 보시는 것이 좋겠습니다. 찾아서 스스로 결론에 도달해야 하는 직업을 가지고 계시니까요...
일단은 투과율과 흡수율의 의미를 찾아 보시고, 색에 따른 파장과 에너지의 차이를 보신 후, 이 식의 어디에 반영되어야 하는지를 살펴 보시어요. 그리고 그 것이 유의미한 차이를 보이는지를 꼭 비교해 보셔야 합니다.
Category