heat balance 관련 질문드립니다.

에너지/열교해석관련 질문

heat balance 관련 질문드립니다.

G 열해석 공부 7 3,230 2015.10.12 14:21
애쉬래에 나오는 heat balance 식에서 궁금한 것이 있어 문의 드립니다.

위 식이 에너지 해석 프로그램에서 기본식으로 쓰이는 것으로 알고 있는데
그 식에서 몇가지 이해가 안되는 부분이 있어 문의 드립니다.
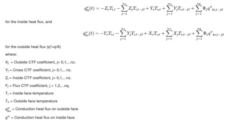
(관련식을 첨부하였습니다.)

문의사항
1. qki 식에서 Zo로 되어 있는 부분이 무엇을 의미 하는 것인가요?
  부호로는 Z가 내부 CTF 계수로 되어 있는데 그것이 외부를 뜻하는 O가 붙어 있어 이해가 가지 않습니다.
  qko의 식에도 Yo로 되어 있는데 이 계수의 의미를 알고 싶습니다.

2. 각 시그마에 있는 nz와 nq의 의미는 무엇입니까?

이상입니다. 열평형의 기본식인데 위 두가지가 이해가 가지 않아 이렇게 질문드립니다.
감사합니다.

Comments

M 관리자 2015.10.12 14:24
네..
저는 이게 왜 궁금하신지가 궁금합니다.
어떤 것을 하시다가 궁금해 지셨는지 알려 주시면 답변에 좀 더 도움이 될 듯 합니다.
G 열해석 공부 2015.10.12 14:30
빠르게 답변 주셔서 감사드립니다.
에너지 플러스 공부를 하고 있는데 해석의 기본 알고리즘이 CTF으로 되어 있고 애쉬래에서도
열평형시 이식을 사용하고 있어 기본 개념을 이해하려고 식을 보다가 위와 같은 궁금증이
생겼습니다.
뒷부분에 대한 식은 이해가 가는데 위 두개 항목이 도저히 이해가 가질 않아서요..
답변 주셔서 정말 감사드립니다.
M 관리자 2015.10.12 18:33
네..
그럼 이렇게 하는 것은 어떨까요..
사실 저도 잘 모르겠는데요..
힌트가 될 만한 네 개의 문서를 올려 드릴께요..
이 것을 한번 찬찬히 보시고, 꺼꾸로 저를 포함하여 이 글을 보시는 분들에게 알려 주시면 좋을 듯 합니다.
네 개의 문서 중에는 그 유명한 hittle 의 문서가 포함되어져 있습니다.
M 관리자 2015.10.12 18:34
M 관리자 2015.10.12 18:34
1 김주찬 2015.10.22 18:15
공식 아래 부분에 오기가 있네요.
Fj -> Φj (혼용하였지만 같은 표현인듯 합니다.)
q'' -> q''ki

1. Zo에서 o는 외부를 뜻하는 o이 아니라 시그마에서 첫 번째 수열입니다. (시그마 j가 0부터 nz)
2. nz와 nq의 적당한 숫자는 벽체구성과 계산 방법에 의해 결정됩니다. Thermal mass가 큰 벽체 일수록 큰 값이면 좋다고 하네요.

덕분에 공부하고 갑니다. :)
Category